Organization: Railway Recruitment Board (RRB)
Post Name: Junior Engineer (JE), Depot Material Superintendent (DMS), Chemical & Metallurgical Assistant (CMA)
Advertisement No.: CEN 05/2025
Short Information:
The Railway Recruitment Board (RRB) has officially released the RRB JE Syllabus 2025–26 and Exam Pattern under CEN No. 05/2025 for Junior Engineer, DMS, and CMA posts. The recruitment process will be conducted in multiple stages — CBT 1, CBT 2, Document Verification, and Medical Examination.
Candidates applying for RRB Junior Engineer Recruitment 2025–26 should understand the detailed exam pattern and syllabus for effective preparation. Below is the complete stage-wise syllabus and marking scheme.
RRB JE 2025–26 Recruitment Process Overview
The recruitment process will consist of the following stages:
- 1st Stage Computer Based Test (CBT-I)
- 2nd Stage Computer Based Test (CBT-II)
- Document Verification (DV)
- Medical Examination (ME)
👉 Note: Candidates can apply to only one RRB and for one common online application. Applications to multiple RRBs will be rejected.
RRB JE 2025–26 Exam Pattern
1. RRB JE CBT 1 Exam Pattern
| Particulars | Details |
|---|---|
| Exam Type | Objective (MCQ) |
| Total Questions | 100 |
| Total Marks | 100 |
| Duration | 90 Minutes (120 minutes for PwBD with scribe) |
| Negative Marking | 1/3 mark for each wrong answer |
Section-Wise Distribution (CBT-1)
| Subjects | No. of Questions | Marks |
|---|---|---|
| Mathematics | 30 | 30 |
| General Intelligence & Reasoning | 25 | 25 |
| General Awareness | 15 | 15 |
| General Science | 30 | 30 |
| Total | 100 | 100 |
✅ Qualifying Marks:
- UR/EWS: 40%
- OBC (NCL): 30%
- SC: 30%
- ST: 25%
(2% relaxation for PwBD candidates)
RRB JE 2025–26 CBT 1 Syllabus
A. Mathematics
Number Systems, BODMAS, Decimals, Fractions, LCM & HCF, Ratio and Proportion, Percentages, Mensuration, Time and Work, Time and Distance, Simple & Compound Interest, Profit and Loss, Algebra, Geometry, Trigonometry, Elementary Statistics, Square Root, Age Calculations, Calendar & Clock, Pipes & Cistern.
B. General Intelligence & Reasoning
Analogies, Alphabetical and Number Series, Coding and Decoding, Mathematical Operations, Relationships, Syllogism, Jumbling, Venn Diagram, Data Interpretation, Conclusions and Decision Making, Analytical Reasoning, Classification, Directions, Statements & Assumptions, and other reasoning topics.
C. General Awareness
Current Affairs, Indian Geography, Culture and History (including Freedom Struggle), Indian Polity and Constitution, Indian Economy, Environmental Issues (India & World), Sports, and General Scientific Developments.
D. General Science
Physics, Chemistry, and Life Sciences (up to Class 10 CBSE syllabus).
2. RRB JE CBT 2 Exam Pattern
| Particulars | Details |
|---|---|
| Exam Type | Objective (MCQ) |
| Total Questions | 150 |
| Total Marks | 150 |
| Duration | 120 Minutes (160 minutes for PwBD with scribe) |
| Negative Marking | 1/3 mark for each wrong answer |
Section-Wise Distribution (CBT-2)
| Subjects | No. of Questions | Marks |
|---|---|---|
| General Awareness | 15 | 15 |
| Physics & Chemistry | 15 | 15 |
| Basics of Computers and Applications | 10 | 10 |
| Basics of Environment and Pollution Control | 10 | 10 |
| Technical Abilities | 100 | 100 |
| Total | 150 | 150 |
✅ Qualifying Marks:
UR/EWS: 40%, OBC: 30%, SC: 30%, ST: 25% (Relaxation applicable for PwBD).
RRB JE 2025–26 CBT 2 Syllabus
A. General Awareness
Current Affairs, Indian Geography, History, Polity & Constitution, Economy, Environmental Issues, Sports, and Scientific & Technological Developments.
B. Physics & Chemistry
Up to 10th standard CBSE syllabus.
C. Basics of Computers and Applications
Computer Architecture, Input & Output Devices, Storage Devices, Networking, Operating Systems (Windows, Linux, Unix), MS Office, Internet, Email, Viruses, Websites, and Web Browsers.
D. Basics of Environment and Pollution Control
Environmental Basics, Pollution (Air, Water, Noise), Waste Management, Global Warming, Acid Rain, Ozone Depletion, and Pollution Control Measures.
E. Technical Abilities (Post-Wise Syllabus)
Questions will be based on the educational qualification and discipline selected by the candidate.
The technical subjects are divided into exam groups based on engineering disciplines as listed below:
| Exam Group | Related Disciplines |
|---|---|
| Mechanical and Allied Engineering | Mechanical, Production, Automobile, Mechatronics, Industrial, Tools & Die, Manufacturing, etc. |
| Electrical and Allied Engineering | Electrical Engineering and its substreams. |
| Electronics and Allied Engineering | Electronics, Instrumentation, Communication, Computer Science, Information Technology, etc. |
| Civil and Allied Engineering | Civil Engineering and its substreams. |
| CMA Group | B.Sc. (Chemistry & Physics). |
👉 Note: Candidates with multiple qualifications can choose any one Exam Group while applying online.
Normalization and Merit Index Calculation
- Normalization is applied when the CBT is conducted in multiple sessions.
- The Merit Index is computed using normalized marks to ensure fairness.
- Final shortlisting for Document Verification and Empanelment will be based on normalized marks in CBT 2.
The Railway Recruitment Board (RRB) conducts the Junior Engineer (JE) examination in multiple shifts across different days. To ensure fairness and equality among all candidates, normalization of marks is applied in both CBT-1 and CBT-2 examinations.
What is Normalization in RRB Exams?
Normalization is a scientific process used to balance variations in difficulty levels across different exam shifts. Since all candidates do not appear in the same paper or session, normalization ensures that no candidate is at an advantage or disadvantage due to an easier or tougher question paper.
The formula used by RRB is based on statistical methods to bring all candidates’ scores to a common scale, ensuring a fair comparison across shifts.
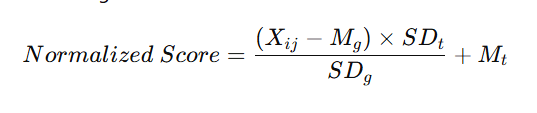
RRB Normalization Formula
The RRB generally uses the following statistical formula for normalization of marks:

Where:
- Xij: Marks obtained by the candidate in the jth session
- Mg: Mean of raw marks of top 0.1% candidates across all sessions
- Mt: Mean of raw marks of top 0.1% candidates of the session in which the candidate appeared
- SDg: Standard deviation of raw marks of top 0.1% candidates across all sessions
- SDt: Standard deviation of raw marks of top 0.1% candidates in the session the candidate appeared
This process ensures fairness and equal opportunity for all candidates irrespective of the exam slot.
Merit Index Calculation
After the normalization process, RRB calculates the Merit Index based on the normalized marks obtained by candidates in both CBT stages.
- The CBT-1 score is used for shortlisting candidates for CBT-2.
- The final merit list is prepared purely based on normalized marks obtained in CBT-2, provided the candidate qualifies in the document verification and medical examination stages.
- In case of tie in marks, RRB applies tie-breaking rules such as date of birth (older candidates given preference) and alphabetical order of names.
Key Points:
- Normalization applies to both CBT-1 and CBT-2 stages.
- Marks are calculated to five decimal places for accuracy.
- The final merit list is prepared zone-wise by respective RRBs.
- No re-evaluation of normalized marks is allowed.
RRB JE 2025–26 Preparation Tips
- Understand the exam pattern and syllabus thoroughly before starting preparation.
- Focus on Mathematics, Reasoning, and Technical Abilities, as these carry the maximum marks.
- Use mock tests available on official RRB websites to practice CBT format.
- Stay updated with current affairs and science fundamentals.
- Revise previous year question papers to understand difficulty level and trends.
Important Links
| Description | Link |
|---|---|
| RRB JE Recruitment 2025–26 Notification | Click Here( Hindi ) | Click Here ( English ) |
| Apply Online for RRB JE 2025–26 | Click Here |
| Download Official PDF | Click Here( Hindi ) | Click Here ( English ) |
| Official Website | https://www.indianrailways.gov.in |
FAQs – RRB JE Syllabus & Exam Pattern 2025–26
Q1. What is the exam pattern of RRB JE 2025–26?
The exam consists of two stages (CBT 1 and CBT 2) followed by document verification and a medical exam
Q2. How many questions are there in RRB JE CBT 1?
There are 100 questions in CBT 1 with a total of 100 marks.
Q3. What subjects are covered in RRB JE CBT 2?
General Awareness, Physics & Chemistry, Computers, Environment, and Technical Abilities.
Q4. Is there negative marking in RRB JE exam?
Yes, 1/3 mark is deducted for each wrong answer in both CBT 1 and CBT 2.
Q5. What is the duration of the RRB JE exam?
CBT 1 is 90 minutes and CBT 2 is 120 minutes (extra time for PwBD candidates).





Pingback: Railway RRB Junior Engineer (JE) Recruitment 2025-26 – Apply Online for 2569 Posts - Today Job News